近年来,研究者提出多种脑成像技术可作为评估自闭症谱系障碍(ASD)的潜在生物标志物,包括脑电图(EEG)、功能磁共振成像(fMRI)、结构磁共振成像(MRI)以及弥散张量成像(DTI)。其中,EEG 因其高时间分辨率(可达毫秒级)和捕捉大脑网络动态异常的能力,成为研究者重点关注的工具,尤其适用于评估大脑功能的瞬时变化及其与行为症状之间的关联。

观察性研究表明,EEG 可用于识别儿童及成人ASD患者的大脑活动时空异常,甚至在高危婴儿出现全面综合征前,EEG 已显示出特征性异常模式,提示其具备早期识别和干预评估的潜力。
干细胞治疗自闭症:I期临床试验通过大脑生物标志物评估疗效 | 机制研究
在一项发表于《Stem Cells Translational Medicine》的探索性、开放标签I期临床试验中,Michael Murias 等人研究了自体脐带血干细胞输注对ASD患儿的治疗潜力,并重点采用EEG作为生物标志物评估手段。该研究旨在评估治疗的安全性,并探索其对临床症状及大脑电生理活动的潜在影响。

该试验主要目的是为了观察自体脐带血治疗ASD的安全性以及临床结果和生物标志物变化。研究共纳入25名ASD患儿,年龄在2~6岁,男21例,女4例,其中轻度4例,中度3例,偏重10例,重度8例。
方 法:经过患者家属知情同意,治疗前预先服用苯那君(0.5 mg/kg IV)、Solu-Medrol(0.5 mg/kg IV),参与者通过外周静脉接受部分或全部脐带血干细胞(含有1.25 ml/kg人血清白蛋白)输注,细胞量为1-5*107/kg。术前以3种刺激条件(玩具、社交和泡泡)为基线,来观测术后患儿的脑电图变化。

结果:
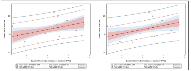
①脑电图变化:输注后12个月,发现脑电图频谱特征发生显著变化,其特征是绝对额叶α频率以及相对额叶和中央区域显著增加,相对β频率(11-20 Hz)也略有增加。此外,还发现脑电图β频率与社交沟通症状的相关改善,这凸显了脑电图生物标记物具有预测结果变化的作用。
②脑电图对比:观察到输注后12个月的脑电图频谱特征变化比输注后6个月的脑电图频谱特征变化更为频繁,这可能是因为脑电图变化与长期的神经回路重建有关。

③CGI-I变化:通过CGI-I评估,发现这些患儿在经过干细胞治疗后,他们的社交沟通(VABS)、表达性语言(EOWPVT)和整体临床改善方面均表现出明显改善。
④安全性:在整个随访期间,未观察到与治疗相关的严重不良反应,仅有部分患儿出现低热、轻微腹泻,常规处理后恢复正常。
总 结:研究期间未发生严重不良事件,少数患儿出现低热、轻微腹泻等反应,经常规处理迅速缓解,表明该治疗方法总体安全可控。
总结与展望:
该研究不仅初步验证了自体脐带血干细胞输注治疗ASD的安全性及潜在疗效,还突显了EEG作为客观生物标志物在监测神经功能变化和治疗反应中的重要作用。EEG所捕获的大脑电生理指标——尤其是额叶α和β节律的变化——为评估干细胞治疗机制提供了可量化、高时间分辨率的窗口。
未来,EEG有望成为ASD临床试验中辅助判定治疗终点的重要工具,尤其适用于评估神经调节类治疗(如干细胞、神经反馈等)的响应机制。进一步大样本、随机对照研究将有助于确立EEG生物标志物在ASD精准医疗中的应用地位。
参考文献:
Michael Murias, Samantha Major, Scott Compton, Jessica Buttinger, Jessica M.Sun, Joanne Kurtzberg, Geraldine Dawson. Electrophysiological Biomarkers Predict Clinical Improvement in an Open-Label Trial Assessing Efficacy of Autologous Umbilical Cord Blood for Treatment of Autism. http://dx.doi.org/10.1002/sctm.18-0090.
免责说明:本文仅用于传播科普知识,分享行业观点,不构成任何临床诊断建议!杭吉干细胞所发布的信息不能替代医生或药剂师的专业建议。如有版权等疑问,请随时联系我。
郑重声明:本文版权归原作者所有,转载文章仅为传播更多信息之目的,如作者信息标记有误,请第一时间联系我们修改或删除,多谢。




发表回复